v. 23 n. 1 (2013): Enero- Junio
começar
Arquivos
Sobre a Revista
Avisos
Sobre
Submissões
Equipe Editorial
Comitê Científico
Declaração de Privacidade
Diretrizes
Contato
Processo de Pré-avaliação e Revisão por Pares
Reconhecimento para avaliadores
História da Revista CUHSO
Indexação
Buscar
Estatísticas
Cadastro
Acesso
Mudar o idioma. O atual é:
Português (Brasil)
English
Español (España)
Cadastro
Acesso
Mudar o idioma. O atual é:
Português (Brasil)
English
Español (España)
v. 23 n. 1 (2013)
Publicado em junho 10, 2024
Enero- Junio
Contenidos
5-6
Contenidos
https://doi.org/10.7770/cuhso-v23n1-art581
PDF (Español (España))
Editorial
Samuel Paillavil; José Manuel Zavala Cepeda
7-9
Editorial
https://doi.org/10.7770/cuhso-v23n1-art586
PDF (Español (España))
Artículos de Investigación
Lucía Trotta, Paula Viviana Soza Rossi
11-35
Metodología dialógica e interdisciplina en la extensión universitaria. Reflexiones acerca de una experiencia
https://doi.org/10.7770/cuhso-v23n1-art446
PDF (Español (España))
Ricardo Andres Orellana Olivares, José Manuel Merino Escobar
37-54
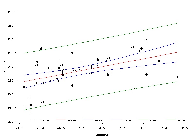
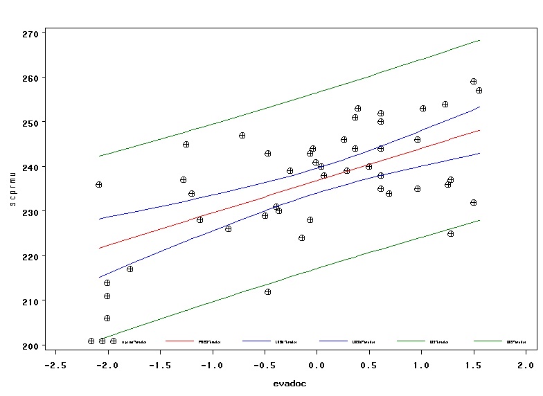
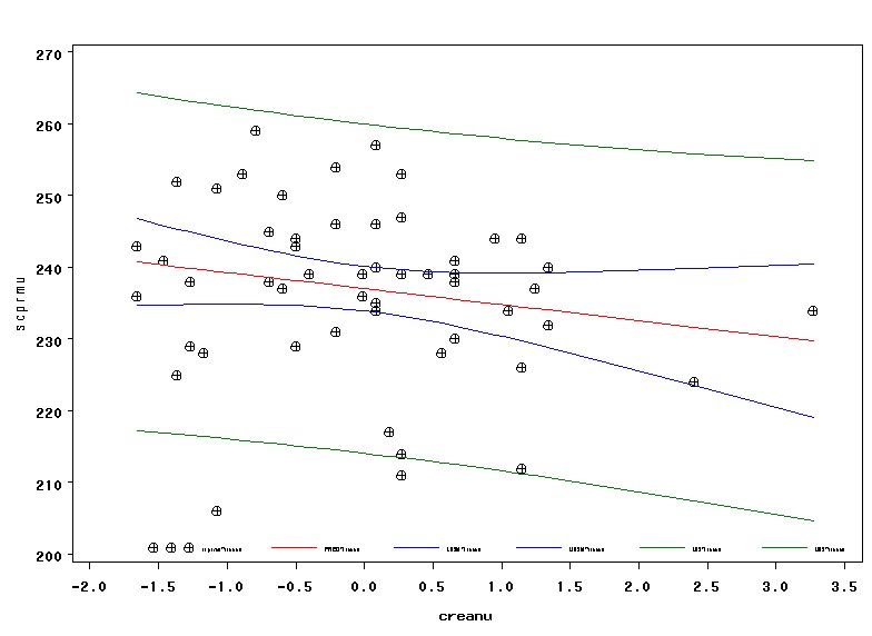
Predictores asociados a variaciones en puntajes Simce en la región del Biobío
https://doi.org/10.7770/cuhso-v23n1-art445
PDF (Español (España))
Gráfico1 (Español (España))
Gráfico2 (Español (España))
Gráfico3 (Español (España))
Gráfico4 (Español (España))
Gráfico5 (Español (España))
Gráfico6 (Español (España))
Región del Bío Bío (Español (España))
Tabla1 (Español (España))
Raúl González Meyer
55-91
Revisitando la historia de las teorías del desarrollo
https://doi.org/10.7770/cuhso-v23n1-art386
PDF (Español (España))
Bernardo Guerrero Jiménez
93-107
Desarrollo andino: sustentable y con identida
https://doi.org/10.7770/cuhso-v23n1-art410
PDF (Español (España))
Mónica De Martino
109-125
Género y trabajo social: algunos desafíos
https://doi.org/10.7770/cuhso-v23n1-art442
PDF (Español (España))
Documentos y Testimonios
Alfredo Cañas Pinochet
127-132
El gillatún de Traitraico de 1891
https://doi.org/10.7770/cuhso-v23n1-art554
PDF (Español (España))
Victor Raviola Molina
133-138
LAS CIENCIAS SOCIALES EN LA UCT EN 1971, POR VÍCTOR RAVIOLA MOLINA
https://doi.org/10.7770/cuhso-v23n1-art571
PDF (Español (España))
1-142
Descargue ejemplar completo
https://doi.org/10.7770/cuhso-v23n1-art583
PDF (Español (España))
Normas Editoriales
139-141
Normas Editoriales
https://doi.org/10.7770/cuhso-v23n1-art594
PDF (Español (España))
×
Usuário
*
Obrigatório
Senha
*
Obrigatório
Esqueceu a senha?
Mantenha-me conectado
Acesso
Não possui registro?
Registrar-se aqui